您好,欢迎访问爱题库
 微信
                微信
             支付宝
                支付宝
            武汉2023届高三2月调研考试数学答案于近期开考,本次考试对考生对知识的掌握参考价值大,为了方便大家复习掌握错题!小编在下文为大家准备了武汉2023届高三2月调研考试数学答案试卷及答案解析详情,仅供考生参考。
如果你想下载武汉2023届高三2月调研考试数学答案DOC或PDF版,请点击本文末链接!
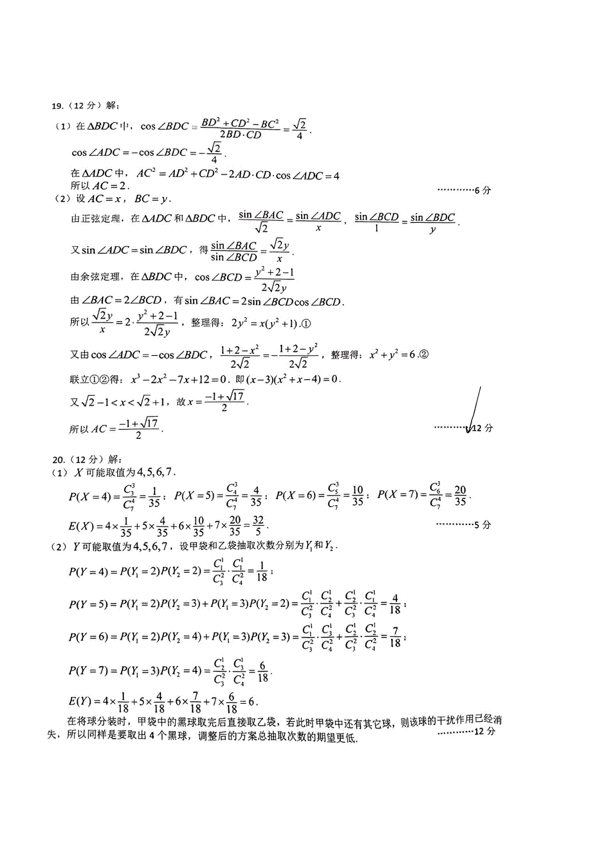
一、武汉2023届高三2月调研考试数学答案




评论
发表评论