您好,欢迎访问爱题库
微信
支付宝
重庆市南开中学高2024届高三第四次质量检测数学试卷于近期开考,本次考试对考生对知识的掌握参考价值大,为了方便大家复习掌握错题!小编在下文为大家准备了重庆市南开中学高2024届高三第四次质量检测数学试卷试卷及答案解析详情,仅供考生参考。
如果你想下载重庆市南开中学高2024届高三第四次质量检测数学试卷DOC或PDF版,请点击本文末链接!
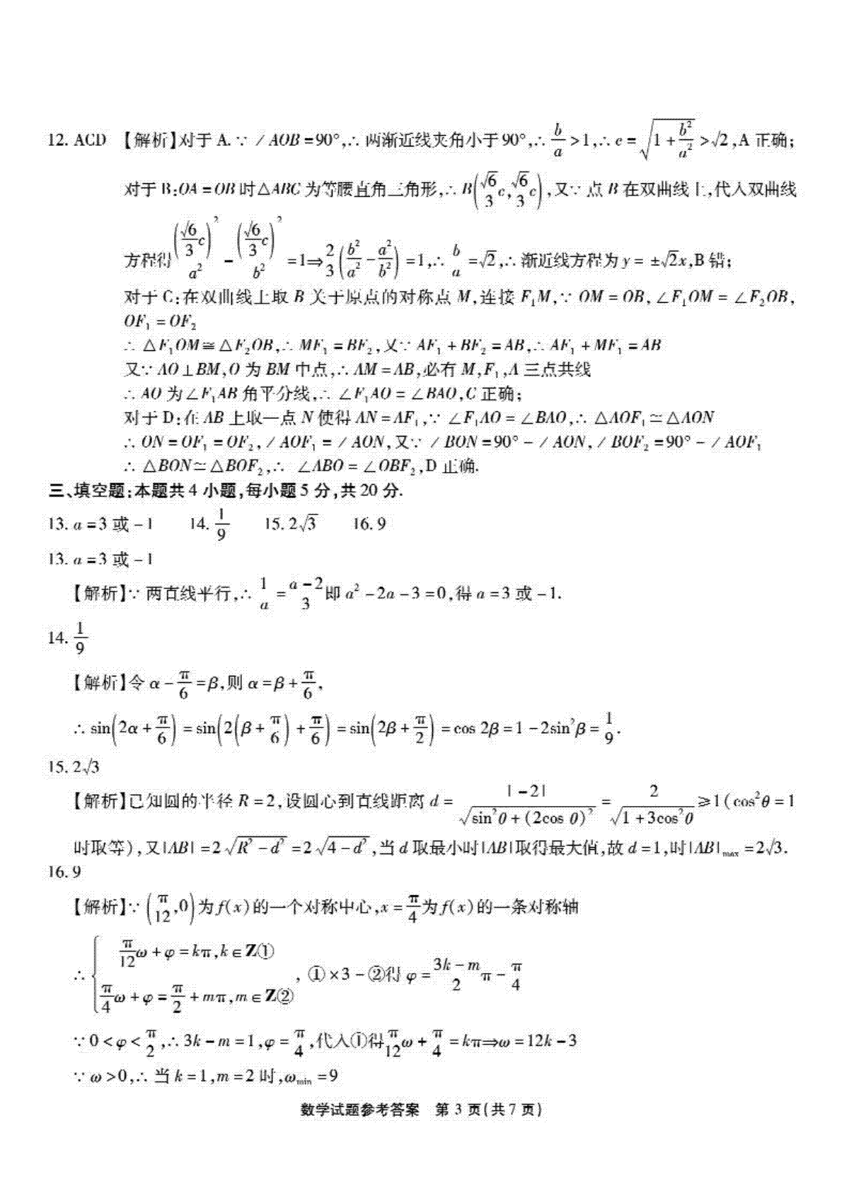
一、重庆市南开中学高2024届高三第四次质量检测数学试卷











评论
发表评论