您好,欢迎访问爱题库
微信
支付宝
文数-陕西省2024届高三上学期12月联考于近期开考,本次考试对考生对知识的掌握参考价值大,为了方便大家复习掌握错题!小编在下文为大家准备了文数-陕西省2024届高三上学期12月联考试卷及答案解析详情,仅供考生参考。
如果你想下载文数-陕西省2024届高三上学期12月联考DOC或PDF版,请点击本文末链接!
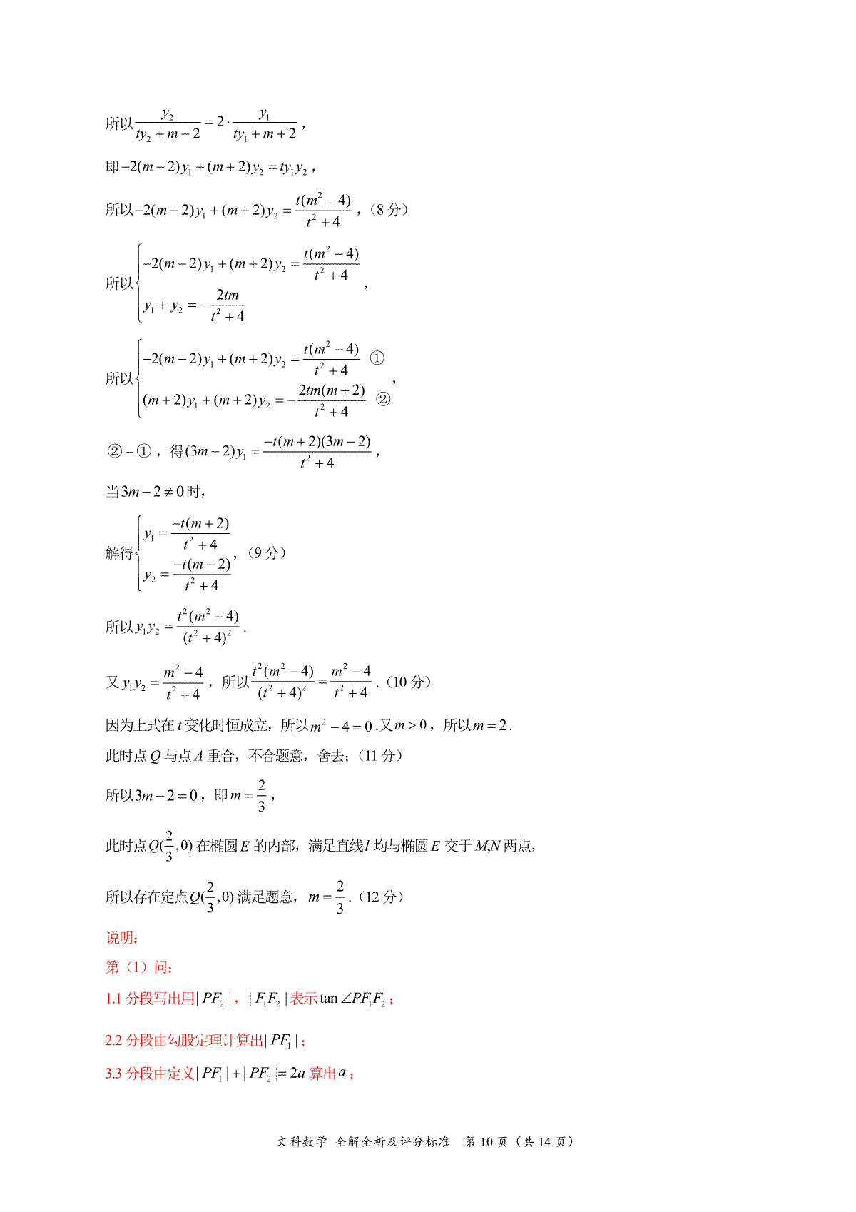
一、文数-陕西省2024届高三上学期12月联考


















评论
发表评论