您好,欢迎访问爱题库
微信
支付宝
昆明市2024届高三“三诊一模”摸底诊断测试数学数学答案于近期开考,本次考试对考生对知识的掌握参考价值大,为了方便大家复习掌握错题!小编在下文为大家准备了昆明市2024届高三“三诊一模”摸底诊断测试数学数学答案试卷及答案解析详情,仅供考生参考。
如果你想下载昆明市2024届高三“三诊一模”摸底诊断测试数学数学答案DOC或PDF版,请点击本文末链接!
一、昆明市2024届高三“三诊一模”摸底诊断测试数学数学答案




评论
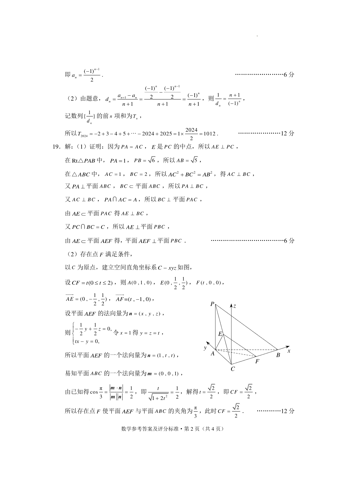
发表评论