您好,欢迎访问爱题库
微信
支付宝
河北省2023-2024学年高三上学期大数据应用调研联合测评数学试题于近期开考,本次考试对考生对知识的掌握参考价值大,为了方便大家复习掌握错题!小编在下文为大家准备了河北省2023-2024学年高三上学期大数据应用调研联合测评数学试题试卷及答案解析详情,仅供考生参考。
如果你想下载河北省2023-2024学年高三上学期大数据应用调研联合测评数学试题DOC或PDF版,请点击本文末链接!
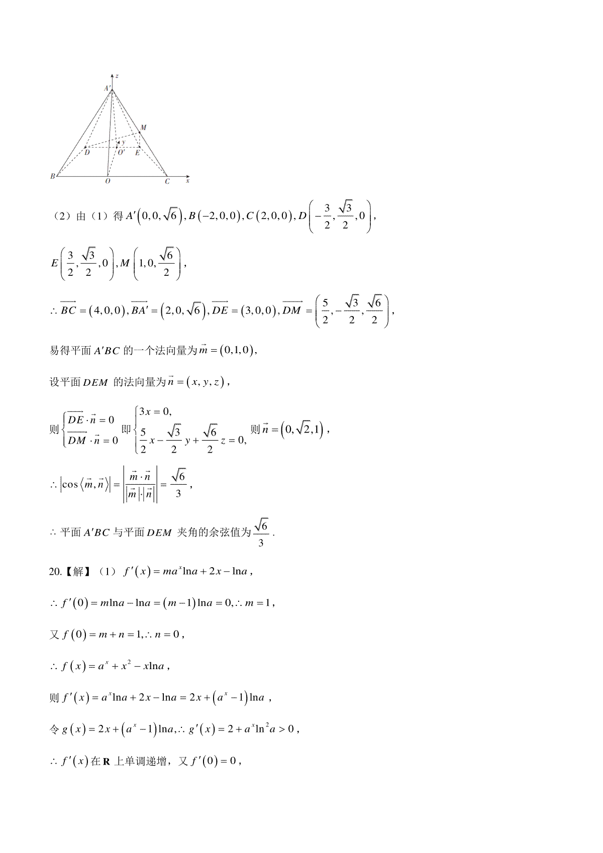
一、河北省2023-2024学年高三上学期大数据应用调研联合测评数学试题


















评论
发表评论