您好,欢迎访问爱题库
                微信
            
                支付宝
            江苏省如皋市2023-2024学年高三下学期一模数学试题于近期开考,本次考试对考生对知识的掌握参考价值大,为了方便大家复习掌握错题!小编在下文为大家准备了江苏省如皋市2023-2024学年高三下学期一模数学试题试卷及答案解析详情,仅供考生参考。
如果你想下载江苏省如皋市2023-2024学年高三下学期一模数学试题DOC或PDF版,请点击本文末链接!
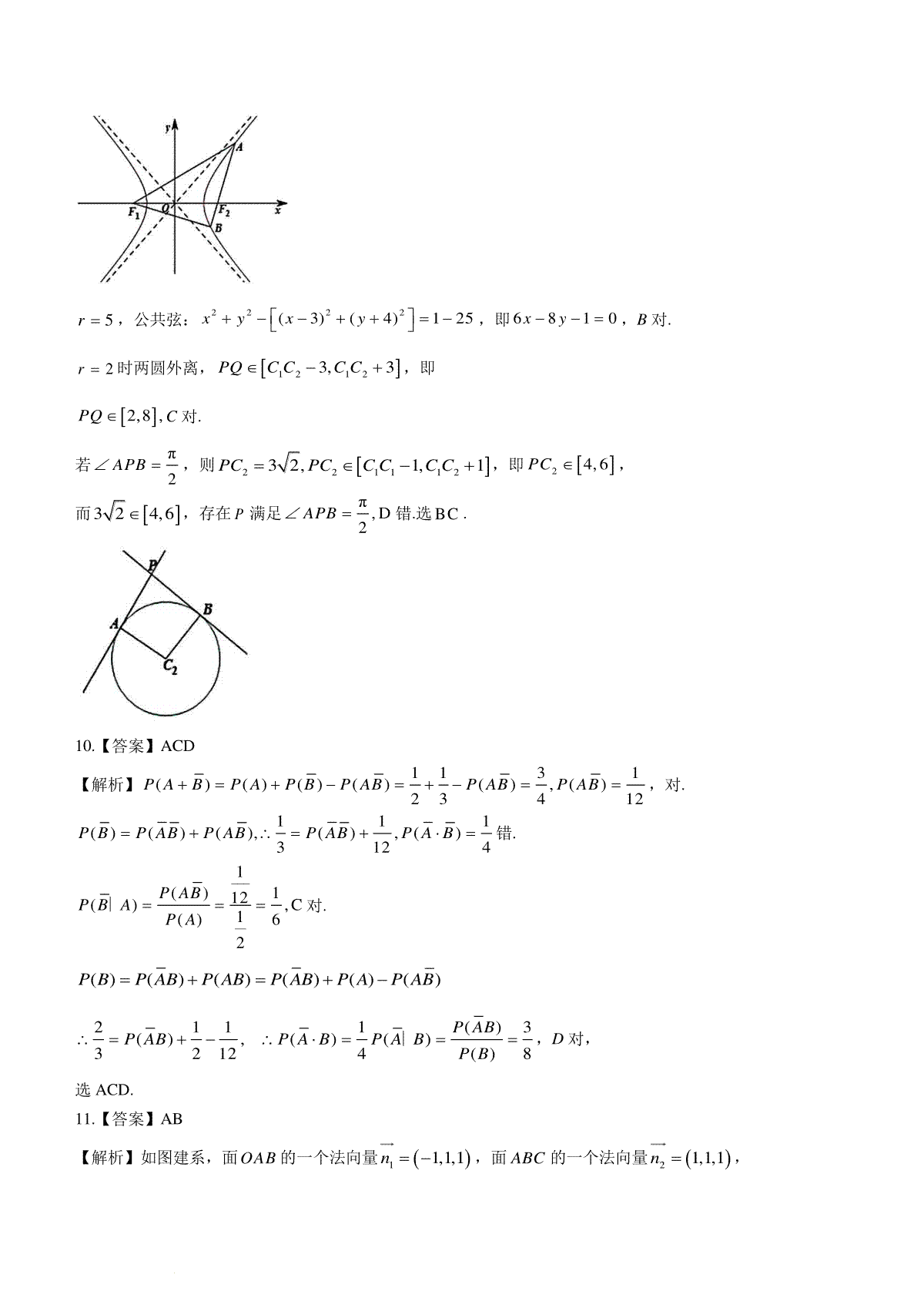
一、江苏省如皋市2023-2024学年高三下学期一模数学试题













评论
发表评论