您好,欢迎访问爱题库
微信
支付宝
2024届陕西省榆林市高三下学期第二次模拟检测数学(理科)试题于近期开考,本次考试对考生对知识的掌握参考价值大,为了方便大家复习掌握错题!小编在下文为大家准备了2024届陕西省榆林市高三下学期第二次模拟检测数学(理科)试题试卷及答案解析详情,仅供考生参考。
如果你想下载2024届陕西省榆林市高三下学期第二次模拟检测数学(理科)试题DOC或PDF版,请点击本文末链接!
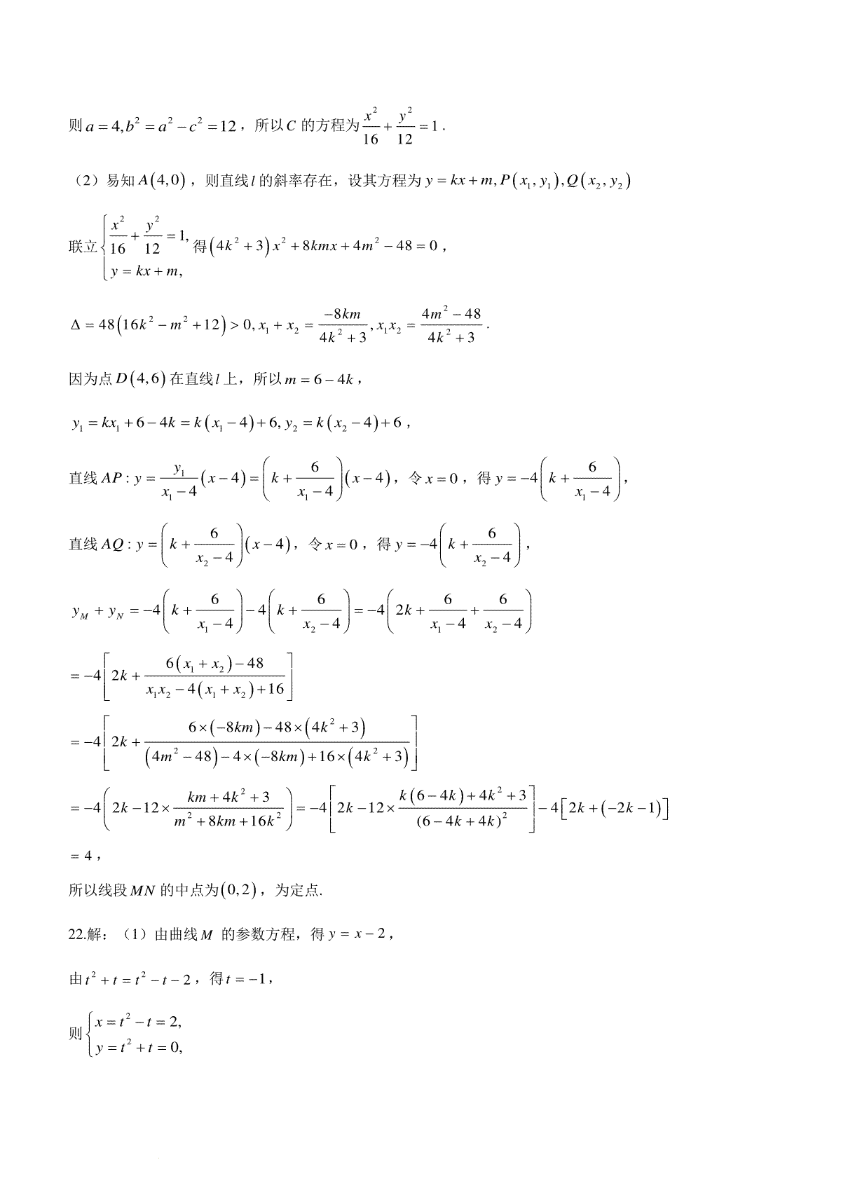
一、2024届陕西省榆林市高三下学期第二次模拟检测数学(理科)试题











评论
发表评论