您好,欢迎访问爱题库
微信
支付宝
山东省济宁市第一中学2023-2024学年高三下学期3月月考试题 数学 PDF版含解析(可编辑)于近期开考,本次考试对考生对知识的掌握参考价值大,为了方便大家复习掌握错题!小编在下文为大家准备了山东省济宁市第一中学2023-2024学年高三下学期3月月考试题 数学 PDF版含解析(可编辑)试卷及答案解析详情,仅供考生参考。
如果你想下载山东省济宁市第一中学2023-2024学年高三下学期3月月考试题 数学 PDF版含解析(可编辑)DOC或PDF版,请点击本文末链接!
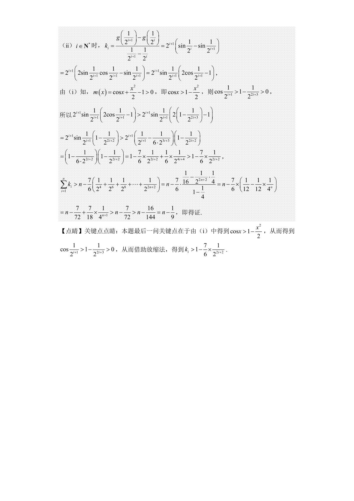
一、山东省济宁市第一中学2023-2024学年高三下学期3月月考试题 数学 PDF版含解析(可编辑)






















评论
发表评论