您好,欢迎访问爱题库
微信
支付宝
海南省四校(海南中学、海口一中、文昌中学、嘉积中学)2024届高三下学期一模试题 数学 Word版含于近期开考,本次考试对考生对知识的掌握参考价值大,为了方便大家复习掌握错题!小编在下文为大家准备了海南省四校(海南中学、海口一中、文昌中学、嘉积中学)2024届高三下学期一模试题 数学 Word版含试卷及答案解析详情,仅供考生参考。
如果你想下载海南省四校(海南中学、海口一中、文昌中学、嘉积中学)2024届高三下学期一模试题 数学 Word版含DOC或PDF版,请点击本文末链接!
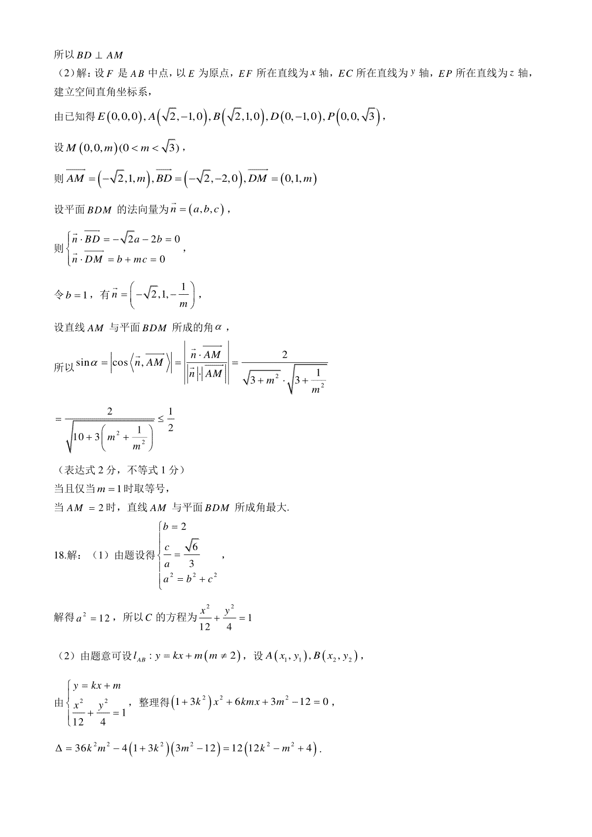
一、海南省四校(海南中学、海口一中、文昌中学、嘉积中学)2024届高三下学期一模试题 数学 Word版含











下载海南省四校(海南中学、海口一中、文昌中学、嘉积中学)2024届高三下学期一模试题 数学 Word版含PDF格式或doc
评论
发表评论